
INTRO
All across the world, modern men are dealing with "chemically castrated" levels of low testosterone.
Even young men at 20 years of age are facing an average testosterone level of just 481.5 ng/dl ¹... Which is less than the average testosterone levels of 45 - 71 year-old men back in the 1980's (501 ng/dl ²).
And it's not just younger guys. Many of our clients and subscribers are middle-aged and are noticing significant differences in their masculinity. I see this referenced both in the bedroom and in the weightroom.
And according to a recent poll by a popular YouTuber, most men are reluctant to resort to the unnatural route of testosterone replacement therapy. So, it makes sense to seek out natural methods to boost testosterone.

As someone who struggled with low testosterone in my mid-20s just a few years ago, I've explored every natural method out there – either by trying it myself or researching extensively.
And being a health obsessed engineer (with OCD) and backdoor access to the most cutting-edge scientific literature in the world, I've delved deeper into these topics than most people ever could.
However, at the beginning of my journey, I made a foolish mistake: I tried cistanche based on recommendations from reputable gurus on YouTube who didn't warn about any of the side effects.
Despite initial optimism, I soon experienced discomfort around my liver area after consuming one cistanche supplement. At first, I thought it must have been coincidental since It was my understanding that it was safe. What struck me was hearing a similar story from another individual.
Upon delving deeper, I uncovered a startling truth: cistanche lacks human safety studies. Worse yet, studies in rodents revealed potential adverse effects, including mild hepatic edema and increased ALT levels, indicating liver stress.
But the alarming findings didn't end there. Further research uncovered concerns about cistanche's potential to cause muscle loss and testicular injury – revelations that sent shivers down my spine.
Driven by a sense of duty to protect men from potential harm, I'm compelled to share this scientifically backed article, shedding light on the hidden dangers of cistanche. It's my hope that by raising awareness, I can help men navigate the treacherous landscape of testosterone-boosting supplements and empower you to make informed choices for your health and masculine vigor so you can evolve every day and conquer your limits.
Potentially Reduced Testosterone and damaged reproductive system
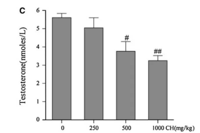
In one study, Cistanche given to mice reduced sperm count dose-dependently, with testosterone levels reaching as low as 57% compared to control groups ¹⁰. This coincided with a downregulation of CREM gene expression which is crucial for elevating cAMP in leydig cells, upregulating star, and promoting steroidogenesis ¹¹. Severe damage to testicular seminiferous tubules was observed; these cytotoxic effects began at a human equivalent dose of 1,076.9 mg for a 70kg male. However, it should be noted that a lower dose was not tested in this study, so we don't know where the threshold is for the cytotoxic effects. Additionally, we don't know which constituent of Cistanche was responsible for this, and the constituents could vary in concentrations between extracts, as mentioned in the discussion section of another study which referenced the toxicity study ³.

Estrogenic response
Both echinacoside and acteoside, often the primary constituents of cistanche, were found to increase estrogen response element and function as SERM's which can act as estrogen agonists or antagonists depending on the tissue. This could be good or bad, but it seems to function as an agonist in bone, hence improving bone strength. It's unclear what effect it has in other tissues, which is concerning ¹².
Potentially reduced muscle mass long term
In one study echinacoside, the main constituent of cistanche internalizes androgen receptors within the hypothalamus, inhibiting the transport of ARs from the cytoplasm to the nucleus ¹³ ¹⁴. In mice, this same modulation leads to increased testosterone but with a loss of muscle mass as well. However, strength is not affected ¹⁵. While we lack studies demonstrating muscle loss with cistanche or its active constituent echinacoside, there are no studies showing a gain in muscle either.
Conclusion
In conclusion, cistanche lowered testosterone and caused testicular toxicity in one rodent study at the lowest dose tested. There are no human studies proving its efficacy for increasing testosterone, nor are there human safety studies. Furthermore, there is a potential for muscle loss due to its mechanism of targeting the hypothalamus AR, akin to observations in hypothalamus AR knockout mice. While one study suggests Cistanche is hepatoprotective, 2 others find increased ALT and mild hepatic edema.
To learn more about hormone optimization, check out our recent Q&A that goes into depth about everything necessary - https://youtu.be/csMp0J3yf88?si=6RO-LaFYex6FUsOh